Предмет: Геометрия,
автор: ChronoRaider
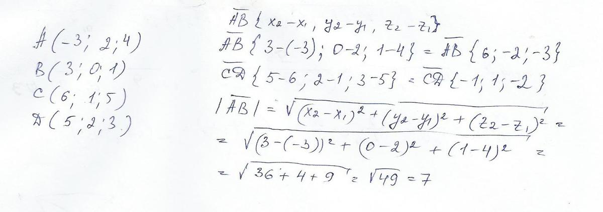
Помогите решить геометрию плиз. Надо найти координаты вектора и длину вектора.
Приложения:
Ответы
Автор ответа:
0
смотри решение внизу
Приложения:
Автор ответа:
0
О спасибо!)))
Похожие вопросы
Предмет: История,
автор: infaahelpp
Предмет: География,
автор: alinapronina2090
Предмет: Обществознание,
автор: partizan1016
Предмет: Математика,
автор: manvelavalyan
Предмет: История,
автор: Ларисо4кааее