Предмет: Алгебра,
автор: lerasydeykina
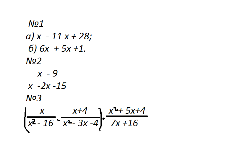
помогите пожалуйста!!!!!!!
Приложения:
Ответы
Автор ответа:
0
1)
= 3
4x-7=9
4x=9+7
x=16/4=4
= 5
x^2-10x+1=25
x^2-10x-24=0
Д= 100+96=196
x1=10+14/2=24/2=12
x2=10-14/2=-4/2=-2

x^2-3x-2x+4=0
x^2-5x+4=0
Д=25-16=9
x1=5+3/2=8/2=4
x2=5-3/2=2/2=1
= x+3
x^2-3x-x^2-9=0
-3x=9
x=9/-3=-3
4x-7=9
4x=9+7
x=16/4=4
x^2-10x+1=25
x^2-10x-24=0
Д= 100+96=196
x1=10+14/2=24/2=12
x2=10-14/2=-4/2=-2
x^2-3x-2x+4=0
x^2-5x+4=0
Д=25-16=9
x1=5+3/2=8/2=4
x2=5-3/2=2/2=1
x^2-3x-x^2-9=0
-3x=9
x=9/-3=-3
Похожие вопросы
Предмет: Алгебра,
автор: Ego7613
Предмет: География,
автор: rita5319
Предмет: Обществознание,
автор: margomazur9831
Предмет: География,
автор: KsenLOVEmars
Предмет: Математика,
автор: SashaIva