Предмет: Физика,
автор: Slomoniwe
Помогите пожалуйста решить кто что сможет по квантовой физике!
Приложения:
Ответы
Автор ответа:
0
№19 λ= hc/A= (6.62*10^-34*3*10^8)/( 3.7*1.6*10^-19)= 335.47 нм
Автор ответа:
0
сейчас решу как у вас)
Автор ответа:
0
готово) обращайтесь, если что
Автор ответа:
0
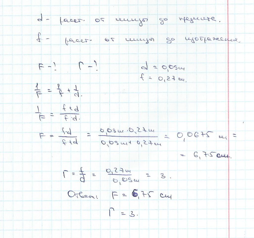
вот 16 задача. как просил)
Приложения:
Автор ответа:
0
Спасибо большое!) помогли, выручили)
Похожие вопросы
Предмет: Математика,
автор: azamatulyzyger
Предмет: Алгебра,
автор: gygubuvrx
Предмет: Математика,
автор: tn4197224
Предмет: Математика,
автор: Анонимычов
Предмет: Физика,
автор: 445886