Предмет: Алгебра,
автор: Леночка54
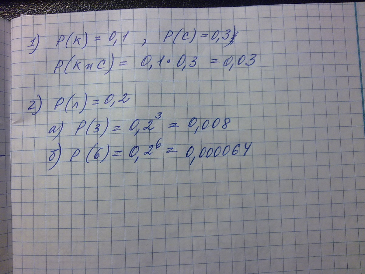
1. Предположим, что вероятность встретить на дороге черную кошку равна 0,1, а вероятность встретить злую собаку равна 0,3. Считая, что собака и кошка гуляют независимо друг от друга, найди вероятность того, что встретится и черная кошка, и злая собака.
2. Вероятность того, что лампочка в люстре перегорит в течение года, равна 0,2. Считая, что лампочки перегорают независимо друг отдруга, найди вероятность того, что в течение года перегорят все лампочки в люстре, если в люстре: а) три лампочки; б) шесть лампочек.
Ответы
Автор ответа:
0
.............................
Приложения:
Автор ответа:
0
1. 0,1*0,3=0,03%
2. 0,2^3=0,008%
0,2^6=0,000064%
Приложения:
Похожие вопросы
Предмет: Геометрия,
автор: muxa8011
Предмет: Математика,
автор: darinadragunova6
Предмет: Алгебра,
автор: zhamilbalgabai
Предмет: Математика,
автор: rembo000
Предмет: Математика,
автор: makovka81