Предмет: Математика,
автор: Аноним
Люди! ОЧЕНЬ! СРОЧНО ПОМОГИТЕ!!!!!!! Ничерта не понимаю, как решить эти четыре системы уравнений. Помогите ПЖЛ)
1)2х+5у-15=0
3х+2у-6=0
2)2х+4у-6=0
3х-2у-25=0
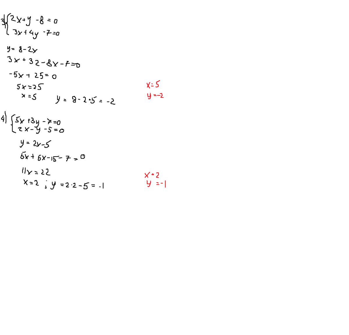
3)2х+у-8=0
3х+4у-7=0
4)5х+3у-7=0
2х-у-5=0
Ответы
Автор ответа:
0
просто выражайте одну переменную из другой и подставляйте во второе уравнение
Приложения:
Похожие вопросы
Предмет: Физика,
автор: drobi228
Предмет: Алгебра,
автор: bombila3000
Предмет: Литература,
автор: masimowilham
Предмет: Химия,
автор: kayt