Предмет: Физика,
автор: mashckaboy4uck
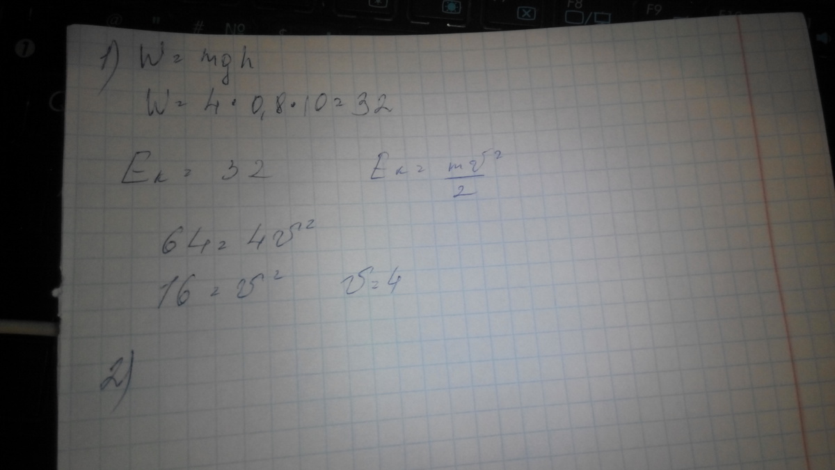
Решите, пожалуйста. Тема: энергия кинетическая и потенциальная
Приложения:
Ответы
Автор ответа:
0
Вот 1 задача.Сейчас остальные сделаю
Приложения:
Автор ответа:
0
Спасибо большое
Похожие вопросы
Предмет: Обществознание,
автор: vikatakblet
Предмет: Физкультура и спорт,
автор: nazarsetnikov
Предмет: Математика,
автор: sinyukoviv2010
Предмет: Геометрия,
автор: Karen45