Предмет: Математика,
автор: Аноним
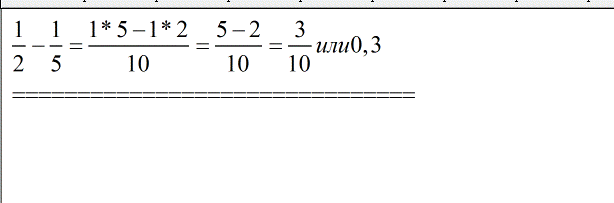
1/2 - 1/5 напишите решение примера полностью
Ответы
Автор ответа:
0
==================================
Приложения:
Похожие вопросы
Предмет: Математика,
автор: Аноним
Предмет: Химия,
автор: anasyceva942
Предмет: Биология,
автор: fanigamesru6547
Предмет: Математика,
автор: 01Соня
Предмет: Математика,
автор: timeeva99