Предмет: Геометрия,
автор: маша1904
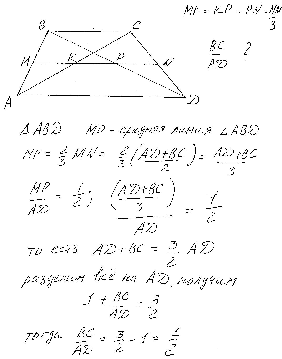
Знайдіть відношення основ трапеції, якщо її діагоналі поділяють середню лінію трапеції на 3 рівні частини.
Ответы
Автор ответа:
0
Рассматриваем отношение средней линии МР треугольника АВД к основанию АД. (смотри рисунок). Причём в любой трапеции с соотношением оснований 1/2, диагонали делят среднюю линию на три равные части.
Приложения:
Похожие вопросы
Предмет: Математика,
автор: poletaevamasha1005
Предмет: Қазақ тiлi,
автор: zakupovaldi2019
Предмет: Алгебра,
автор: abajamov57
Предмет: Алгебра,
автор: Дацент