Предмет: Физика,
автор: aleck777
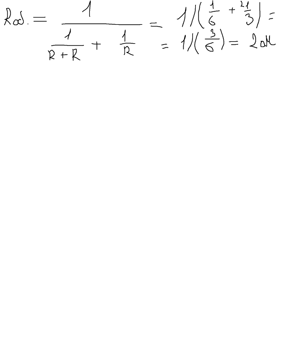
Как быть в A14? Вроде легко,а не могу разобраться,последовательное и параллельное соединения
Приложения:
Ответы
Автор ответа:
0
,,,,,,,,,,,,,,,,,,,,,,,,,,,,,,,,,,,,,,,,,,,,
Приложения:
Похожие вопросы
Предмет: Алгебра,
автор: anastasy138
Предмет: Алгебра,
автор: tanjiofc
Предмет: Математика,
автор: donersmasom
Предмет: Математика,
автор: nikitaz198