Предмет: Математика,
автор: георкоз
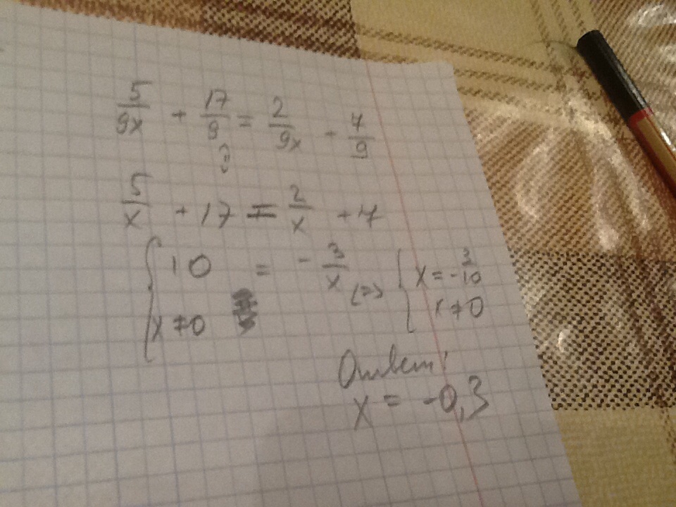
помогите мне решить 2 уравнения: 5/9х+17/9=2/9х+7/9 и
2(х+2)-4(х-3)=5х+9
Ответы
Автор ответа:
0
Пока вот первое ... ..
Приложения:
Похожие вопросы
Предмет: Українська література,
автор: sonetdeinega30042006
Предмет: Информатика,
автор: Aiym0820
Предмет: Математика,
автор: elitnayashpunka
Предмет: Математика,
автор: Dzimperka
Предмет: История,
автор: azaza