Предмет: Алгебра,
автор: Аноним
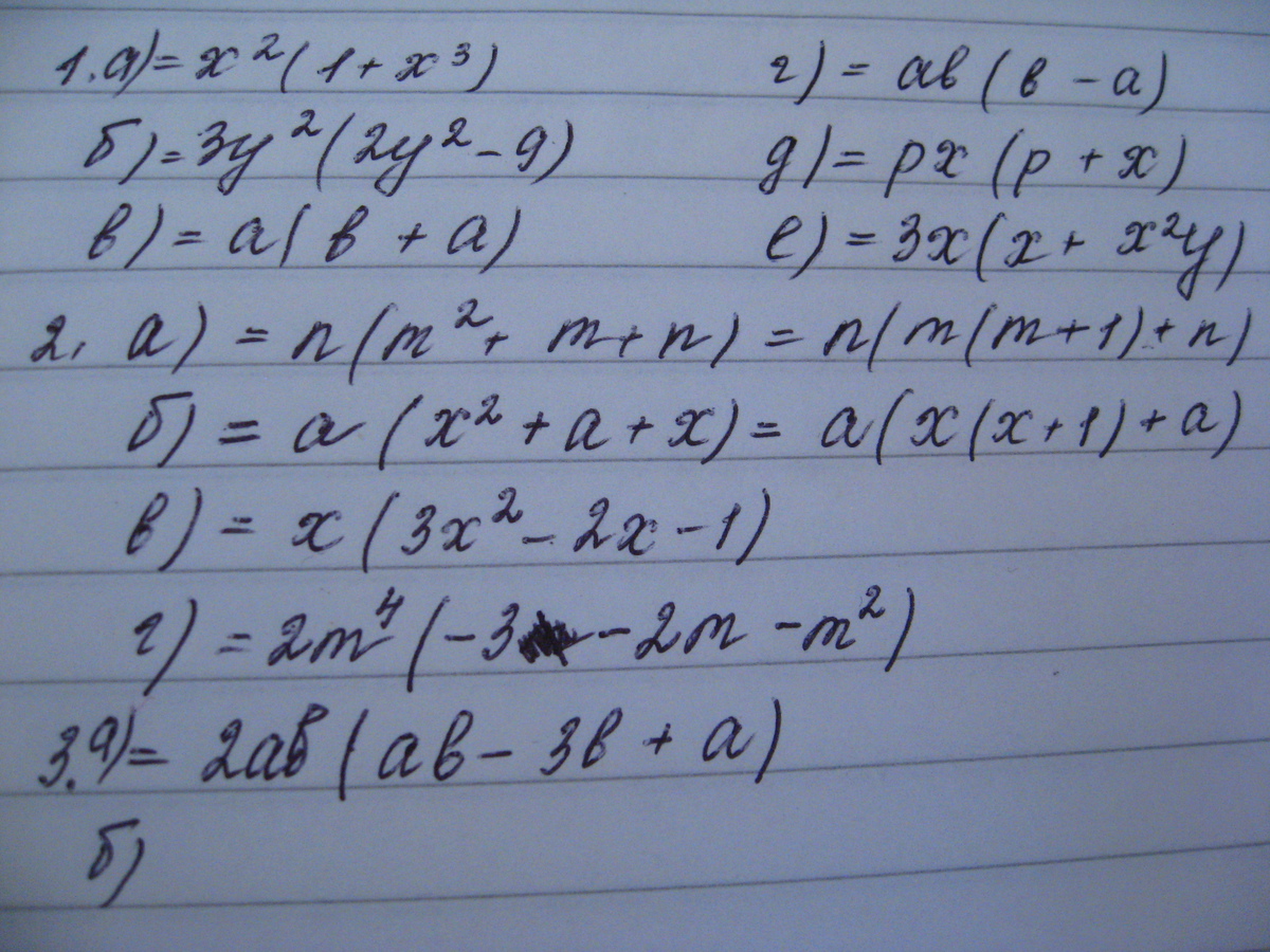
1) Вынесите общий множитель за скобки
а) x^2+x^6
b)6y^4-9y^2
c)ab+a^2
d)ab^2-a^2b
e)p^2x+px^2
f)3x^2+3x^3y
2) Разложите на множители
а)nm^2+mn+n^2
b)ax^2+a^2x-ax
c)3x^3-2x^2-x
d)-6m^4-4m^5-2m^6
3) Вынесите за скобки общий множитель
а)2a^2b^2-6ab^2+2a^2b
b)12xy^2z^2-8x^2yz^2-2x^2y^2z
Ответы
Автор ответа:
0
Последнее не могу написать.. не поняла. Проверь правильность написания условия)
Приложения:
Автор ответа:
0
12xy^2 z^2-8x^2 yz^2-2x^2 y^2 z
Автор ответа:
0
ааа.. поняла!) смотри
Автор ответа:
0
СПАСИБО:**** <3
Похожие вопросы
Предмет: Математика,
автор: dina098775
Предмет: Английский язык,
автор: murageratyrau38
Предмет: Математика,
автор: ekaterinaploticina5
Предмет: Математика,
автор: NiceBG
Предмет: Математика,
автор: matrix875