Предмет: Алгебра, автор: splashesses

Представьте выражение в виде рациональной дроби (a^-1 + b)(a + b^-1)^-1

Приложения:

Ответы

Автор ответа: Rechnung
0
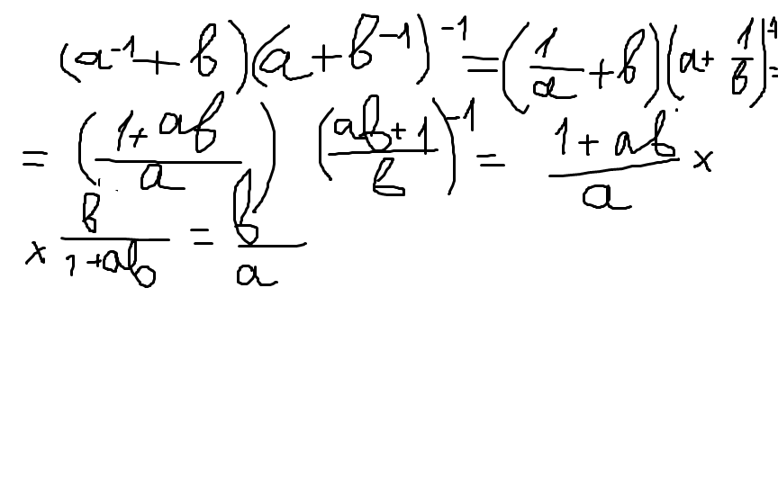
(a^{-1}+b)(a+b^{-1})^{-1}=(frac{1}{a}+b)(a+frac{1}{b})^{-1}=\\=(frac{1+ab}{a})(frac{ab+1}{b})^{-1}=frac{1+ab}{a}*frac{b}{1+ab}=frac{b}{a}
Автор ответа: Аноним
0
Ответ в файле
Используем свойства степеней,потом раскрыли скобки
Приложения:
Похожие вопросы
Предмет: Русский язык, автор: dkdk58
Задание 1. 2б.
Прочитайте текст. Составьте 1 тонкий, 1 толстый вопрос по содержанию данного текста.
ПОЛИЯЗЫЧНОЕ ОБРАЗОВАНИЕ – ВАЖНЕЙШАЯ СТРАТЕГИЯ РАЗВИТИЯ КАЗАХСТАНА
Полиязычие как важное направление развития человечества осознавалось давно. Сегодня невозможно представить себе, что где-то ещё существуют страны, люди которых владели бы только одним языком. И в реальности нет цивилизованных государств, где жила бы только одна нация. Для нормального функционирования любого многонационального государства весьма существенно формирование двуязычия и полиязычия.
Казахстан – страна многонациональная. Жизнь сложилась так, что люди разных национальностей живут здесь в одной большой дружной семье, знакомятся с языками представителей других национальностей, изучают их языки.
В Казахстане уделяется очень большое внимание изучению языков народов, населяющих эту страну. Здесь казахский язык является государственным, а русский язык – язык межнационального общения. По государственной программе учебники нового поколения издаются в стране на шести языках: казахском, русском, уйгурском, узбекском, турецком и немецком. Иностранные языки изучаются во всех школах. Если учесть, что обучение осуществляется на государственном и русском языках в школах, колледжах и вузах, а в учебных планах всех учебных заведений предусмотрено изучение, кроме русского, еще, как минимум, одного иностранного языка, то можно говорить, что в Казахстане уже сформировалась двуязычная ситуация и имеется тенденция полиязычного образования.
В своём Послании к народу в 2009 году «Новый Казахстан в новом мире» Президент Республики Казахстан Н.А. Назарбаев отметил, что в целях обеспечения конкурентоспособности страны и ее граждан предложена поэтапная реализация культурного проекта «Триединство языков», согласно которому необходимо развитие трех языков: казахского как государственного языка, русского как языка межнационального общения и английского как языка успешной интеграции в глобальную экономику.
По мнению Президента Н. Назарбаева «...Казахстан уникален и силен своей многонациональностью. На его земле сформировалось уникальное поликультурное пространство… Поликультурность Казахстана – это прогрессивный фактор развития общества. Евразийские корни народов Казахстана позволяют соединить восточные, азиатские, западные, европейские потоки и создать уникальный казахстанский вариант развития поликультурности».
Полиязычие – основа формирования поликультурной личности. Полиязычным можно назвать человека, говорящего, понимающего и умеющего в различных ситуациях общения пользоваться иностранными языками.
Предмет: История, автор: paa8834