Предмет: Алгебра,
автор: vasipetrover12
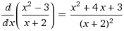
найти производную ((4x+3)^6)' и (x^2-3)/(x+2)'
Ответы
Автор ответа:
0
я думаю, что должно быть вот так, наверное. ))
Приложения:
Похожие вопросы
Предмет: Музыка,
автор: lo4kalol
Предмет: Английский язык,
автор: alkoz20064
Предмет: Русский язык,
автор: gureva09101989
Предмет: Алгебра,
автор: Alunakas
Предмет: Геометрия,
автор: Аля282