Предмет: Физика,
автор: chelo0vek
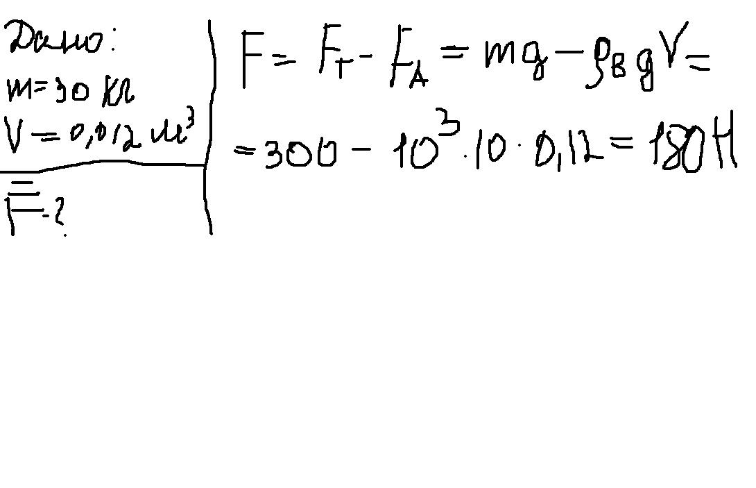
Какую надо приложить силу, чтобы
держать под водой камень массой 30 кг,
объемом 0,012 м3?
Ответы
Автор ответа:
0
решение во вложениях
Приложения:
Похожие вопросы
Предмет: Другие предметы,
автор: Аноним
Предмет: История,
автор: noradusenchik1110
Предмет: Математика,
автор: Аноним
Предмет: Химия,
автор: Юлия147