Предмет: Математика,
автор: Zjrik
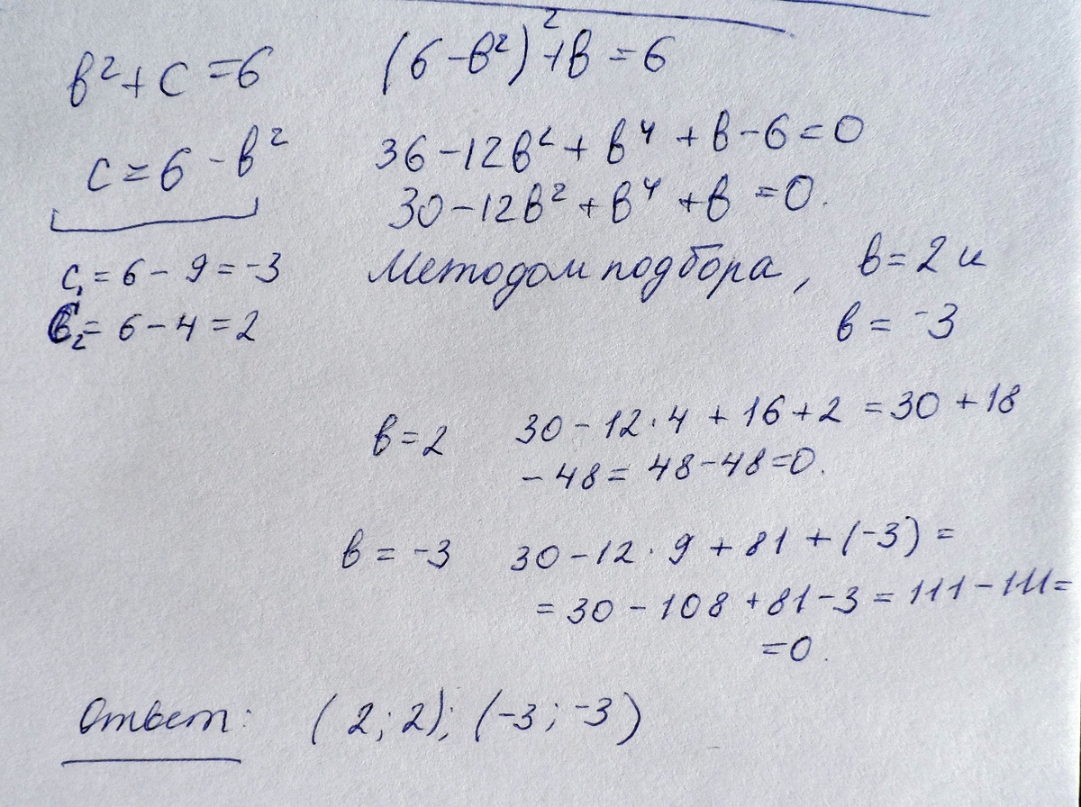
Решите систему уравнений:
b^2 +с=6
с^2 +b=6
пожалуйсто фотом))))
Ответы
Автор ответа:
0
Решение прикреплено файлом!
Приложения:
Похожие вопросы
Предмет: Математика,
автор: polina2oo8
Предмет: Математика,
автор: alievvva009
Предмет: Литература,
автор: atazanovanadira25
Предмет: Литература,
автор: Igornata2013
Предмет: Литература,
автор: irishka012