Предмет: Алгебра,
автор: ходячеечудо
Пожалуйста, помогите решить.... Буду очень благодарна!!!
Приложения:
Ответы
Автор ответа:
0
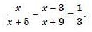
к общему знаменателю
3x^2+27x-3x^2+9x-15x+45-x-5=0 сократим, и подобные слогаемые
81x=45
x=45/81=5/9
Похожие вопросы
Предмет: Русский язык,
автор: Liliyaabdullina80
Предмет: Литература,
автор: neznayff
Предмет: Математика,
автор: 915374
Предмет: Математика,
автор: megasanya
Предмет: Математика,
автор: nasty2018