Предмет: Математика,
автор: zhekanpol
НИД ХЕЛП СРООЧНО!!!!!!
Приложения:
Ответы
Автор ответа:
0
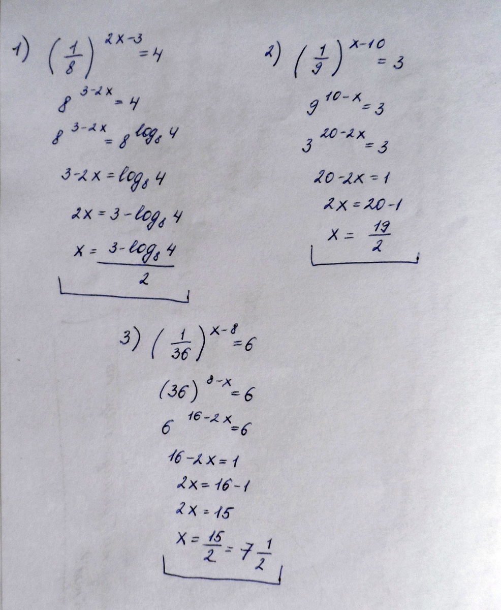
Решение прикреплено файлом!
Приложения:
Автор ответа:
0
спасибооооо
Автор ответа:
0
:)
Похожие вопросы
Предмет: Алгебра,
автор: koplaynikita
Предмет: Математика,
автор: Аноним
Предмет: Физика,
автор: podyachevans
Предмет: Геометрия,
автор: veronikaRostov