Предмет: Алгебра,
автор: Valuadiana
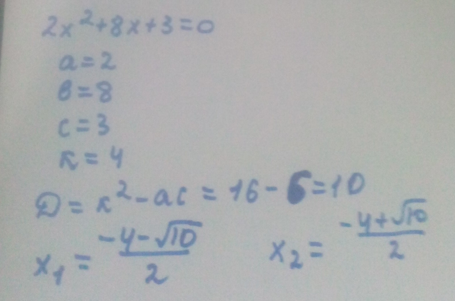
2x^2+8x+3=0
Решите уравнение
Ответы
Автор ответа:
0
решение есть на фото.
Приложения:
Похожие вопросы
Предмет: Русский язык,
автор: aisemexdiyeva
Предмет: География,
автор: kamilla2698016
Предмет: Математика,
автор: umidaata666
Предмет: Математика,
автор: linka20011
Предмет: Обществознание,
автор: ovs2810