Предмет: Алгебра,
автор: Аноним
Помогите решить примеры пожалуйста,оценка зависит от этого
Приложения:
Ответы
Автор ответа:
0
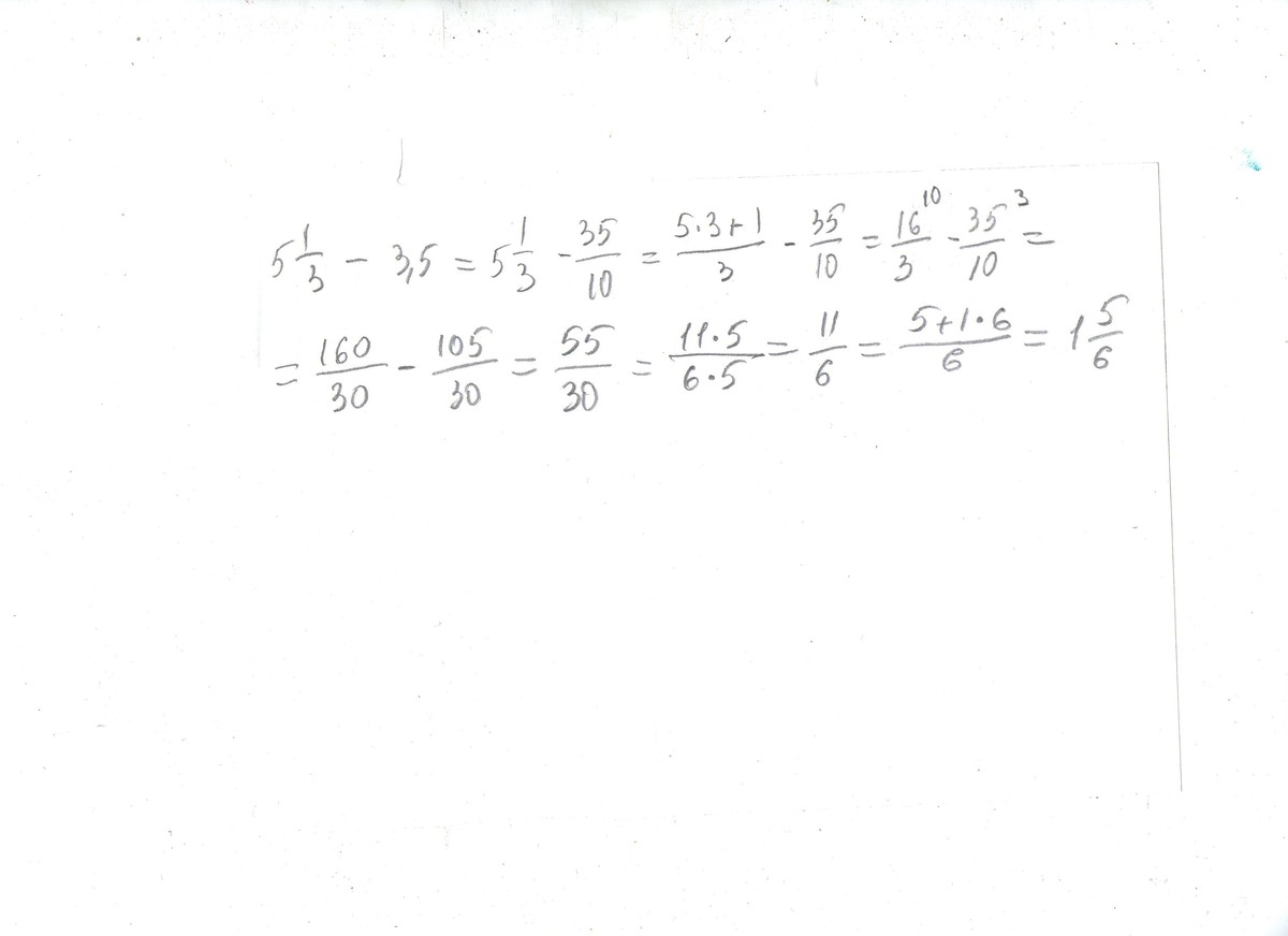
№ 13 решение во вложении
остальные увы незнаю
остальные увы незнаю
Приложения:
Похожие вопросы
Предмет: Қазақ тiлi,
автор: od4362234
Предмет: Алгебра,
автор: Dydalinaalina1
Предмет: Английский язык,
автор: marusyaduncheva
Предмет: История,
автор: natanavelforever