Предмет: Геометрия,
автор: katerinawa
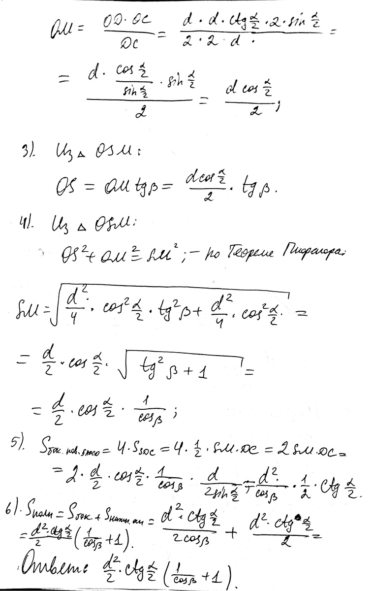
Основанием четырехугольной пирамиды служит ромб,меньшая диагональ которого равна d, а острый угол=альфа. каждая боковая грань наклонена к пло-ти основания под углом бэта. найти площадь полной поверхности пирамиды.
Ответы
Автор ответа:
0
Решение во вложениях. Удачи.
Приложения:
Похожие вопросы
Предмет: Алгебра,
автор: mudaaaaaaa
Предмет: Математика,
автор: ghoest123zd
Предмет: Литература,
автор: nastyaplav
Предмет: Математика,
автор: fvjfktrcfylh3