Предмет: Математика,
автор: daaashas
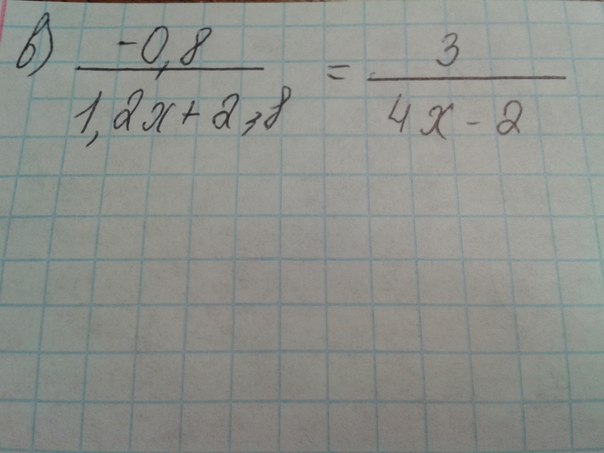
Решите пожалуйста уравнение с решением
Приложения:
Ответы
Автор ответа:
0
===================================
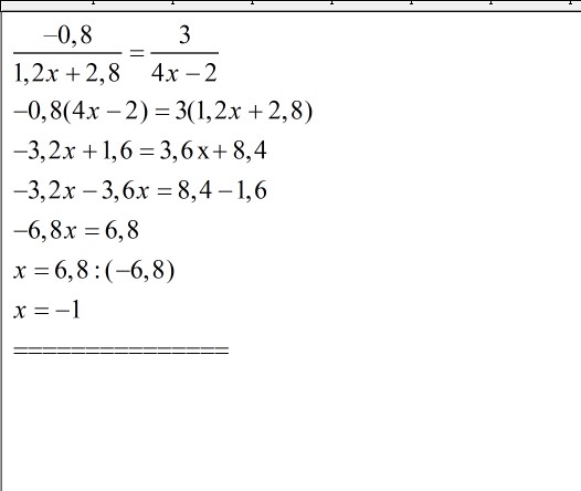
Приложения:
Похожие вопросы
Предмет: Математика,
автор: Аноним
Предмет: Геометрия,
автор: rakaf94680
Предмет: Математика,
автор: anzhelayunusova
Предмет: Геометрия,
автор: Мими958