Предмет: Алгебра,
автор: саскеучиха
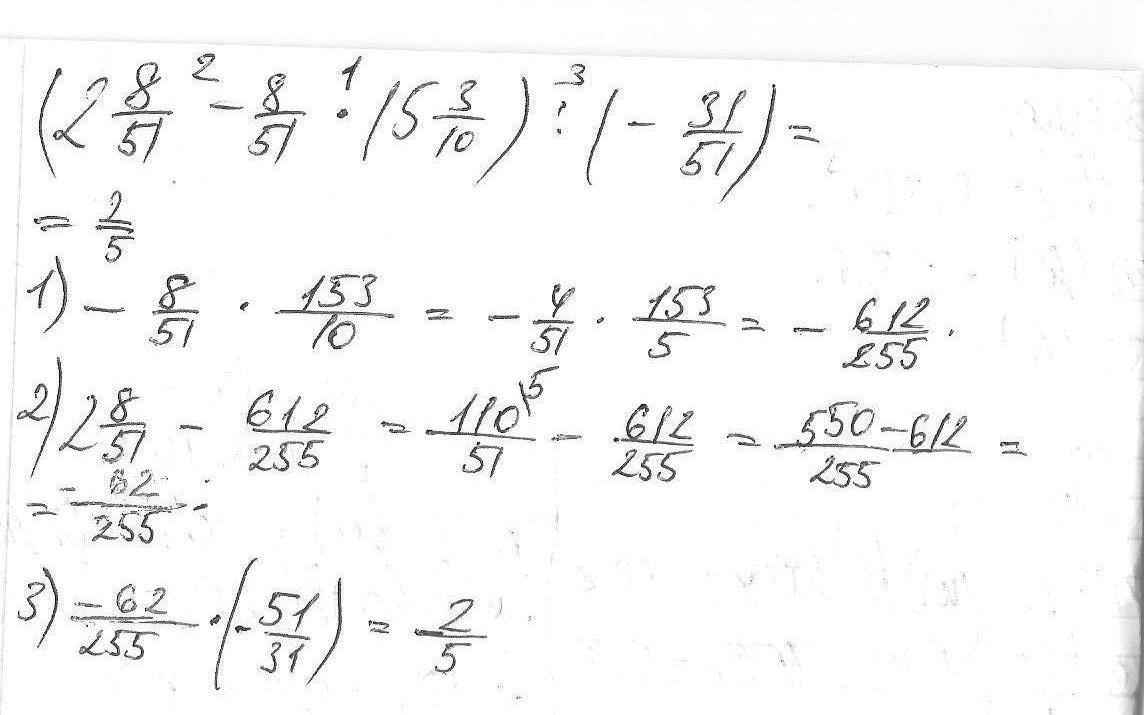
Найдите значение выражения плизз(подробно,с вычислениями):
(2 целых 8/51-8/51*15,3):(-31/51)
Ответы
Автор ответа:
0
Так теперь объясняю...в первом действии десятичное число представили как целое потом перевели в смешанную и сократили
второе действие так как знак минус привели к общему знаменателю
в третьем действии знак деления поменяли на умножение и перевернули дробь,сократили
Приложения:
Похожие вопросы
Предмет: Русский язык,
автор: khadya12
Предмет: История,
автор: horiukdmytro
Предмет: Физика,
автор: Аноним
Предмет: Математика,
автор: юбка
Предмет: Алгебра,
автор: жмр