Предмет: Алгебра,
автор: tiffany1
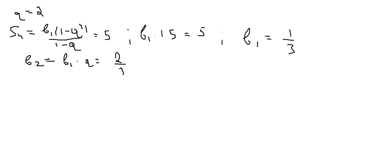
в геометрической прогрессии (bn) q=2 и s4=5 найдите b2
Ответы
Автор ответа:
0
.............................
Приложения:
Похожие вопросы
Предмет: Математика,
автор: Аноним
Предмет: Английский язык,
автор: zekrompoke2
Предмет: Математика,
автор: gl43382
Предмет: Алгебра,
автор: ПавелУст
Предмет: Алгебра,
автор: oy7422