Предмет: Алгебра,
автор: ПростоДьявол
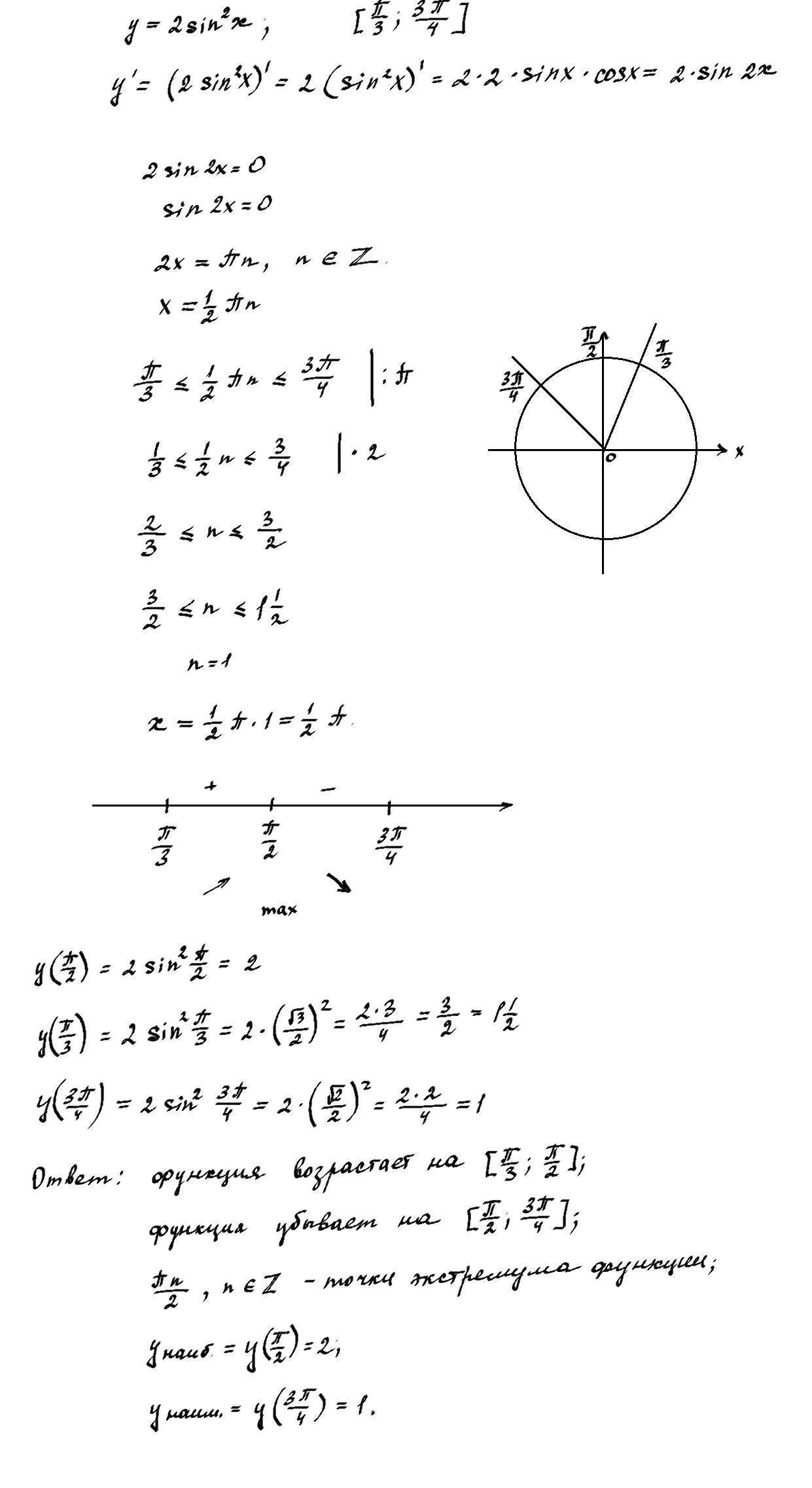
решите пожалуйста) y=2sin^2x на отрезке [ п/3;3п/4]
Ответы
Автор ответа:
0
Решение в прикрепленном файле.
Найдены:
- промежутки возрастания и убывания функции на указанном отрезке;
- точки экстремума функции;
- наибольшее и наименьшее значение функции на указанном отрезке.
Найдены:
- промежутки возрастания и убывания функции на указанном отрезке;
- точки экстремума функции;
- наибольшее и наименьшее значение функции на указанном отрезке.
Приложения:
Похожие вопросы
Предмет: Русский язык,
автор: madoanroma
Предмет: Геометрия,
автор: senendlook
Предмет: Українська література,
автор: maniajarema
Предмет: Алгебра,
автор: nadya1999