Предмет: Алгебра, автор: nagorniakan

Нужно срочно. С полным развёрнутым решением.

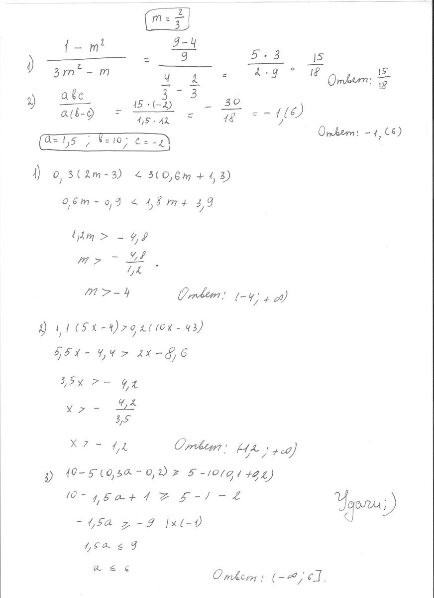
Найдите значение выражения:
1) 1-m^2 / 3m^2-m.     при m= 2/3
2)  abc / a(b-c).     при a=1,5 ;  b=10 ; c=  -2

Решите неравенство:

1) 0,3 (2m-3) < 3 (0,6m+1,3);
2) 1,1 (5x-4) > 0,2 (10x-43);
3) 10-5 (0,3a - 0,2) > либо равно 5-10 (0,1 + 0,2) 

Ответы

Автор ответа: Alinka090708
0
Ответ и решение в приложении,удачи)
Приложения:
Похожие вопросы
Предмет: Математика, автор: lenabreeva2003
Предмет: География, автор: nebiyevasaida
3. Пользуясь Знаниями по географии, определите,
географических объектов лишний.
Альпы – Анды - Апеннины - Аппалачи - Атлас
какой
из
Пяти
Из
предложенных вариантов выберите верное обоснование своего ответа
(верно определён общий признак для четырёх объектов в логическом ряду и
найдено правильное обоснование для ошибочного элемента).
Обоснование ответа
Все горные системы расположены в Евразии, а эта горная система
в Америке.
Все горные системы расположены в Америке, а эта в Африке.
Эта горная система образовалась в палеозойскую эру, а все другие
в кайнозойскую эру.
Эта горная система является самой высокой из всех.
Все горные системы располагаются вдоль берегов Атлантического океана и
его морей, а эти горы протянулись вдоль Тихого океана.
а
о
Из списка названий географических объектов подберите пример, который
наилучшим образом может заменить ошибочный элемент.
Пример для продолжения ряда
Алтай
• Драконовы горы
• Капские горы
Карпаты
Тянь-Шань
Уральские горы
о
о даю 5 баллов
Предмет: Алгебра, автор: chingis2013
Предмет: Алгебра, автор: dasha110