Предмет: Алгебра,
автор: nesterka
a^2+3a a
___________ - ______
Ab-5b+8a-40 b+8
Y 3y
____ - ___________
3x-2 6xy+9x-4y-6
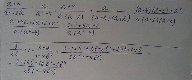
A+4 -a
_______ - _______
A^2-2a a^2-4
3 b+7
___+ 1+______
2b 1-4b^2
Ответы
Автор ответа:
0
Решение прикреплено файлом!
Приложения:
Похожие вопросы
Предмет: Математика,
автор: alinurzakyp20
Предмет: История,
автор: Аноним
Предмет: Математика,
автор: tata515
Предмет: Информатика,
автор: диск
Предмет: Алгебра,
автор: RonniMiller