Предмет: Математика,
автор: svetlanam2005
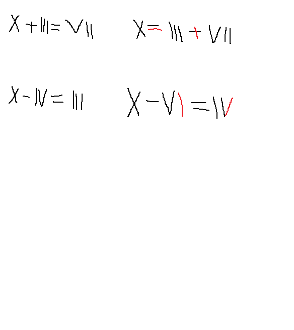
Помогите Афанасию переложить две палочки, чтобы равенства стали верными 10+3=7 и 10-4=3
Ответы
Автор ответа:
0
ответ смотри во вложении
Приложения:
Автор ответа:
0
спасибо, огромное...
Автор ответа:
0
владей!
Похожие вопросы
Предмет: География,
автор: 1sEa7
Предмет: Алгебра,
автор: carparker
Предмет: Математика,
автор: meruertmejrambaj052
Предмет: Литература,
автор: ЖвачГа