Предмет: Алгебра,
автор: ctktyfujvtp
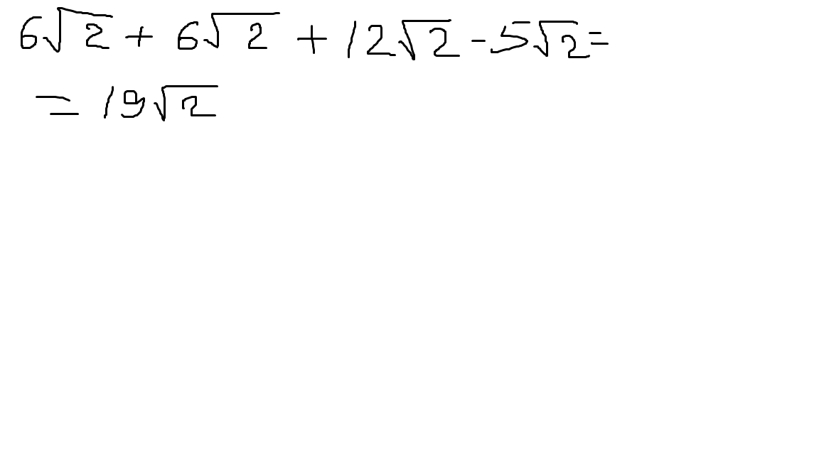
Как можно упростить это?)
Приложения:
Ответы
Автор ответа:
0
Получится вот так :)
Приложения:
Похожие вопросы
Предмет: Другие предметы,
автор: zaika13061984
Предмет: География,
автор: khanakhmedtagirov
Предмет: Биология,
автор: lipton0o
Предмет: Литература,
автор: g6g6g00
Предмет: Алгебра,
автор: vale1214