Предмет: Алгебра,
автор: Аноним
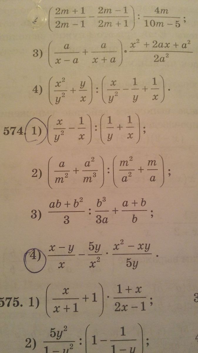
упростите данные выражения
заранее спасибо
номер 574 (1 и 4)
Приложения:
Ответы
Автор ответа:
0
========================================================
ответы в файлах:
ответы в файлах:
Приложения:
Похожие вопросы
Предмет: Қазақ тiлi,
автор: Akniet0zhakypbek
Предмет: Русский язык,
автор: edita28
Предмет: История,
автор: Аноним
Предмет: Математика,
автор: Hohlik
Предмет: Химия,
автор: aleks1712