Предмет: Физика,
автор: Martin709
Помогите пожалуйста СРОЧНО!!!!!
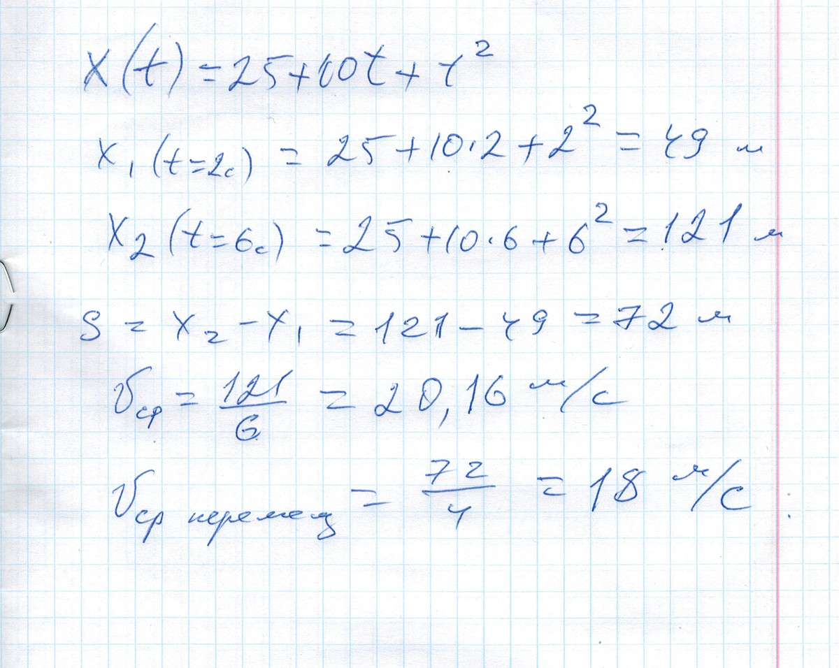
Закон движения материальной точки имеет вид: X(t)=25+10t+t^2. Найти перемещение и пройденный путь за промежуток времени от t1=2с до t2=6с , а также среднюю путевую скорость и среднюю скорость перемещения
Ответы
Автор ответа:
0
смотри файлик...............
Приложения:
Похожие вопросы
Предмет: Информатика,
автор: maximator2006
Предмет: Русский язык,
автор: Аноним
Предмет: Математика,
автор: angelina346826
Предмет: Математика,
автор: найда1