Предмет: Алгебра,
автор: deni290
Пожалуйста помогите вот:найти наименьшее значение функции : y=2^x в квадрате +16x+19
Ответы
Автор ответа:
0
находим производную функции : y'=(2^x+16x+19)'=ln2 *2^x+16
ln2*2^x+16=0
получается что стационарных и критических точек нет,далее решения нет
ln2*2^x+16=0
получается что стационарных и критических точек нет,далее решения нет
Приложения:
Автор ответа:
0
Объясните как вы это решили
Автор ответа:
0
словами а не знаками если можно
Автор ответа:
0
решила по формуле производных ,то есть нашла производную каждого (пример: производная 16x это будет 16 ),после нахождения всей производной надо приравнять её к 0 ,далее найти стационарные и критические точки
Автор ответа:
0
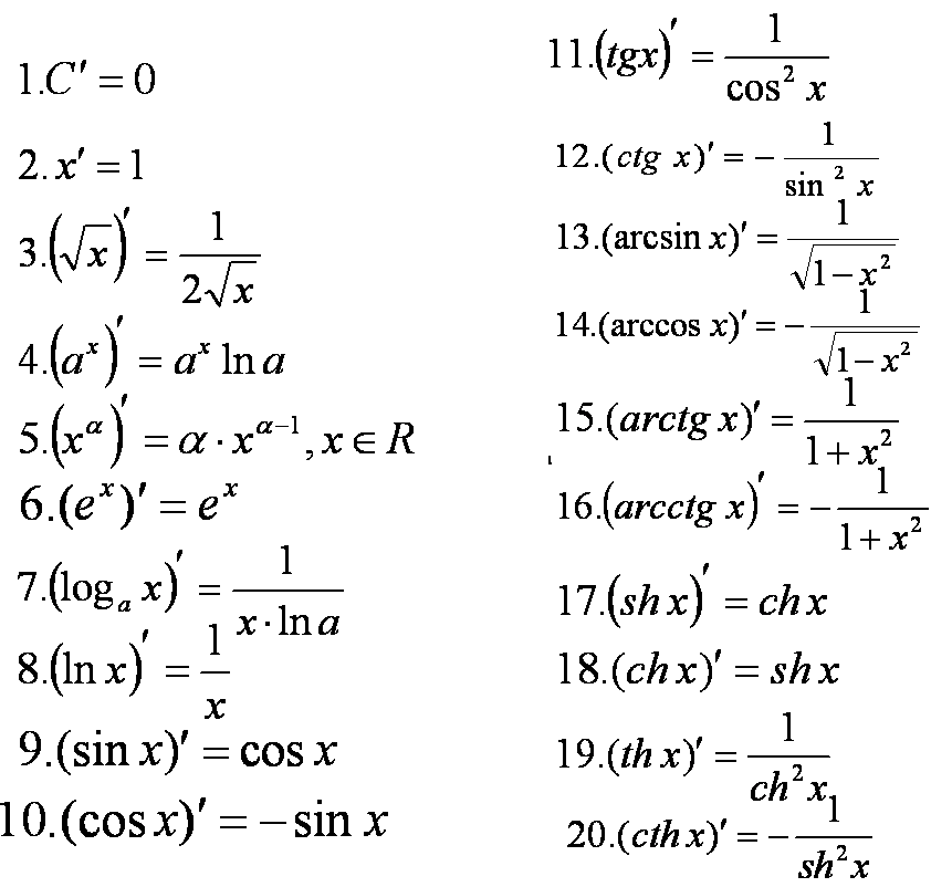
прикрепила картинку производных,посмотри
Похожие вопросы
Предмет: Математика,
автор: samirkaxxl10220
Предмет: Русский язык,
автор: mansurbaiboz
Предмет: Физика,
автор: maxa90
Предмет: Математика,
автор: эльфебириус
Предмет: Право,
автор: pavel945