Предмет: Алгебра,
автор: Акося1998
помогите пожалуйста(((


Ответы
Автор ответа:
0
=========================
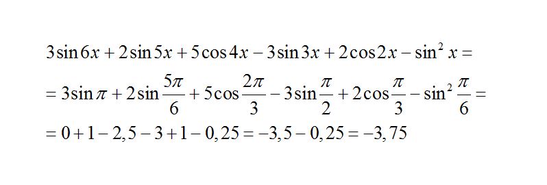
Приложения:
Автор ответа:
0
правильный ответ -15/4
Автор ответа:
0
Решение прикреплено файлом!
Приложения:
Автор ответа:
0
правильный ответ -15/4
Автор ответа:
0
откуда такая уверенность?
Автор ответа:
0
из ответов?
Автор ответа:
0
в книге есть правильный ответ
Автор ответа:
0
смотрите измененное решение
Похожие вопросы
Предмет: Математика,
автор: ponizova07
Предмет: Математика,
автор: shahverdyanlilit01
Предмет: Математика,
автор: Rustemzere
Предмет: Химия,
автор: greenandclear
Предмет: Алгебра,
автор: Rom4a