Предмет: Алгебра,
автор: KattyV
Помогите решить пожалуйста...буду очень благодарна
Приложения:
Ответы
Автор ответа:
0
прошу Вас:) если непонятно- спрашивай
Приложения:
Автор ответа:
0
благодарю
Автор ответа:
0
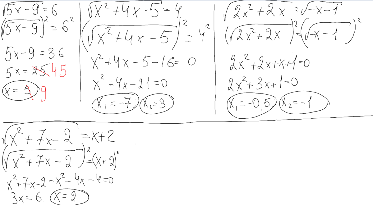
а)Возводим в квадрат обе части уравнения 5х-9=36, х=9 Проверка дает положит. результат (делать проверку или дополнительно находить область определения) Ответ 9
б) аналогично возводим в квадрат обе части x^2+4x-5=16 или x^2+4x-21=0 x1=3
x2=-7
выполняем проверку Оба корня подходят Ответ -7 и 3
в)после возведения в квадрат 2x^2+2x=-x-1 или 2x^2+3x+1=0
x1= -0.5 (проверка дает отриц результат) x2= -1(подходит) Ответ -1
г) x^2+7x-2=x^2+4x+4 3x=6 x=2 (проверка) Ответ 2
2) пусть корень(х)=t получаем квадратное уравнение t^2+5t-36=0
корни t=4 и t= -9 (не подходит)
решаем корень(х)=4 получаем один корень х=16 Ответ 16
б) аналогично возводим в квадрат обе части x^2+4x-5=16 или x^2+4x-21=0 x1=3
x2=-7
выполняем проверку Оба корня подходят Ответ -7 и 3
в)после возведения в квадрат 2x^2+2x=-x-1 или 2x^2+3x+1=0
x1= -0.5 (проверка дает отриц результат) x2= -1(подходит) Ответ -1
г) x^2+7x-2=x^2+4x+4 3x=6 x=2 (проверка) Ответ 2
2) пусть корень(х)=t получаем квадратное уравнение t^2+5t-36=0
корни t=4 и t= -9 (не подходит)
решаем корень(х)=4 получаем один корень х=16 Ответ 16
Приложения:
Автор ответа:
0
спасибо
Похожие вопросы
Предмет: Русский язык,
автор: slakvenkoveronika
Предмет: Математика,
автор: bakythanajnura
Предмет: Геометрия,
автор: vadim3212017
Предмет: Химия,
автор: Dashka2695
Предмет: Литература,
автор: Артур999