Предмет: Математика,
автор: mur1mur
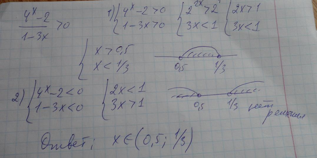
Помогите, пожалуйста, решить неравенство. Заранее спасибо!
Фото приложено.
Приложения:
Ответы
Автор ответа:
0
Решение неравенства Дробь >0 (числитель и знаменатель >0 или то и другое <0)
Приложения:
Похожие вопросы
Предмет: Математика,
автор: Huy89
Предмет: Геометрия,
автор: suspooppppaaa
Предмет: Геометрия,
автор: a198420062009a
Предмет: Математика,
автор: vfhfvsirby