Предмет: Химия,
автор: langdog97
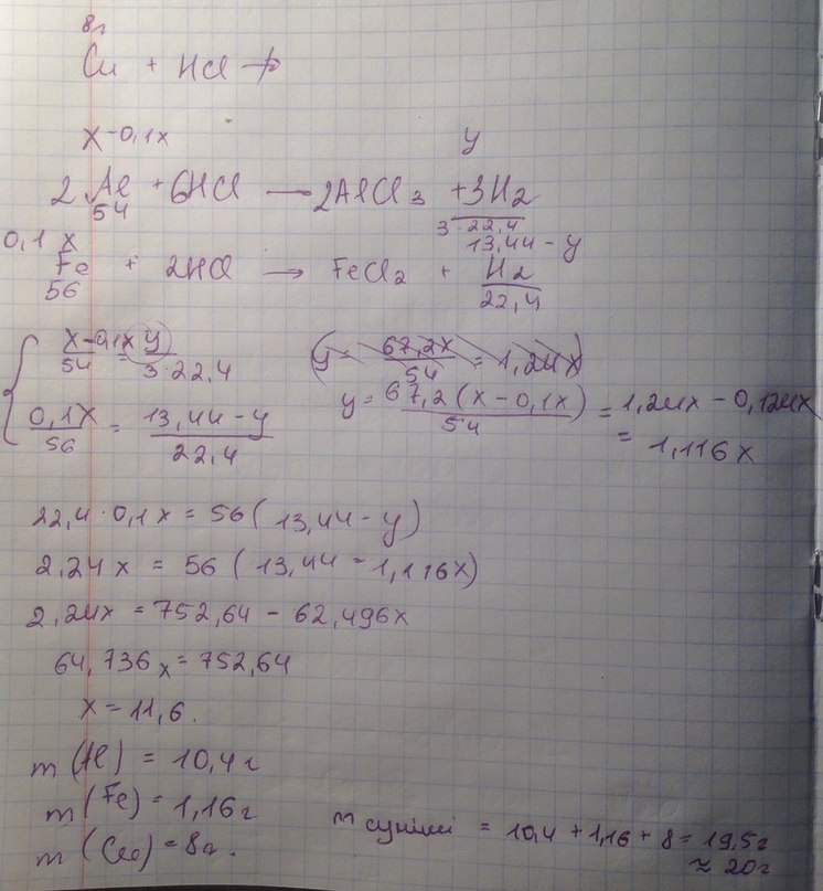
Під час дії на сплав, що містить залізо, мідь та алюміній, в якому масова частка заліза - 10%, надлишком хлоридної к-ти виділилось 13, 44л газу й залишилось 8 г нерозчинного залишку. Визначте масовий склад вихідної суміші!
Ответы
Автор ответа:
0
Визначте масовий склад вихідної суміші
Приложения:
Похожие вопросы
Предмет: ОБЖ,
автор: gsgvidjwxk
Предмет: Русский язык,
автор: Viriodacus
Предмет: Русский язык,
автор: polinaakulic63
Предмет: Алгебра,
автор: Ju22
Предмет: Математика,
автор: SanyaBest7