Предмет: Алгебра, автор: lerochkaaales

решите уравнение : х^3+х^2-4х-4=0

Ответы

Автор ответа: esmilya
0
Если понравилось решение - нажимай "спасибо" и "лучший" (рядом с кнопкой "спасибо") :)
Приложения:
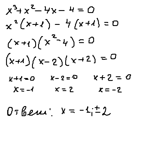
Автор ответа: mappku
0
x^3+x^2-4x-4=0;\
x=-1;\
(-1)^3+-(-1)^2-4cdot(-1)-4=-1+1+4-4=0;\
x^3+x^2-4x-4=0;\
x^2(x+1)-4(x+1)=0;\
(x+1)(x^2-4)=0;\
(x+1)(x^2-2^2)=0;\
(x+1)(x-2)(x+2)=0;\
x_1=-1;\
x_2=-2;\
x_3=2.
Приложения:
Похожие вопросы
Предмет: Математика, автор: irinapirig183
Предмет: Математика, автор: krismozaeva9
Предмет: Алгебра, автор: vovancore091