Предмет: Физика,
автор: elena1zoluska
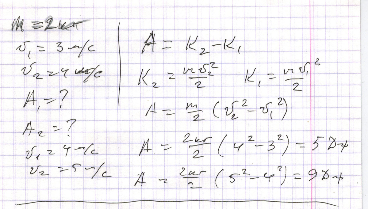
Тело массой m2 кг движется со скоростью ύ1=3 м/с. Какую работу надо выполнить, чтобы увеличить скорость тела до ύ2=4 м/с? Вычислить работу, которую надо совершить, чтобы скорость увеличилась от ύ1=4 м/с до ύ2=5 м/с.
Ответы
Автор ответа:
0
смотри файлик..................
Приложения:
Автор ответа:
0
Спасибо огромное))))))))
Похожие вопросы
Предмет: Русский язык,
автор: usenitalaev
Предмет: Математика,
автор: Ar1qz
Предмет: Русский язык,
автор: qween2048
Предмет: Математика,
автор: King06