Предмет: Алгебра,
автор: Аmour
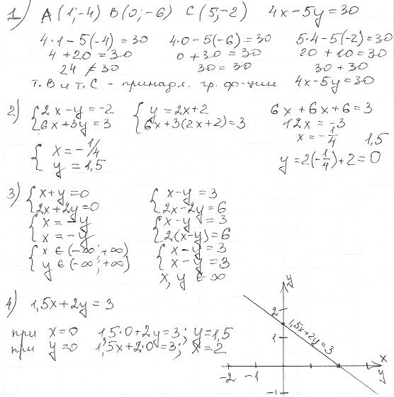
2 вариант на рисунке плизз очень срочно нужно)))что зможите
Приложения:
Ответы
Автор ответа:
0
______________________________________________________
Приложения:
Автор ответа:
0
Спасибочки большое))))
Похожие вопросы
Предмет: Математика,
автор: BigRussianBaha
Предмет: Английский язык,
автор: efjdykcdgj79
Предмет: Биология,
автор: vlasenkoandrij303
Предмет: Физика,
автор: doooooozer