Предмет: Алгебра,
автор: Примроуз
Разложите многочлен на множители (подробно)
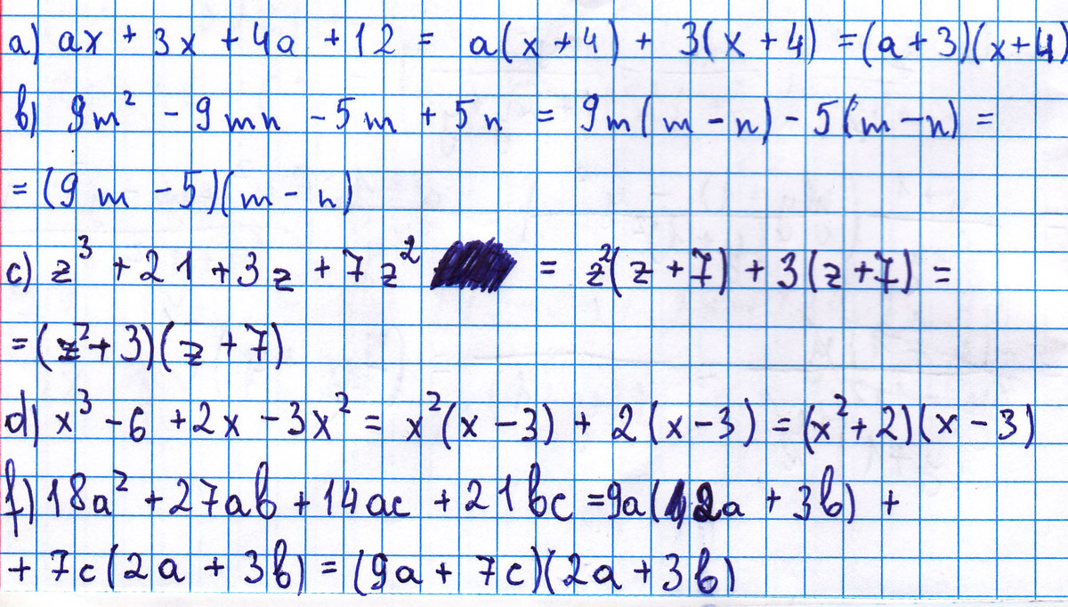
a) ax+3x+4a+12=
b) 9m во второй - 9mn - 5m +5n
c) z в третьей + 21+3z+7z во второй27
d) x в третьей - 6+ 2x - 3x во второй
f) 18a во второй + 27ab +14 ac +21bc
Решите уравнение
x в четвёртой + x в третьей - 8х - 8 = 0
Ответы
Автор ответа:
0
см. рисунок _____________
Приложения:
Автор ответа:
0
а) =х(а+3)+4(а+3)=(а+3)(х+4)
б) =9м(м-н)-5(м-н)=(9м-5)(м-н)
c)z^2(z+7)+3(z+7)=(z^2+3)(z+7)
d)=2(Х-3)+х^2(х-3)=(2+х^2)(х-3)
f)=9а(2а+3в)+7с(2а+3в)=(9а+7с)(2а+3в)
х^3(Х+1)-8(х+1)=0
(х^3-8)(х+1)=0
х^3-8=0 и х+1=0
х=2 х=1
б) =9м(м-н)-5(м-н)=(9м-5)(м-н)
c)z^2(z+7)+3(z+7)=(z^2+3)(z+7)
d)=2(Х-3)+х^2(х-3)=(2+х^2)(х-3)
f)=9а(2а+3в)+7с(2а+3в)=(9а+7с)(2а+3в)
х^3(Х+1)-8(х+1)=0
(х^3-8)(х+1)=0
х^3-8=0 и х+1=0
х=2 х=1
Приложения:
Похожие вопросы
Предмет: Русский язык,
автор: Linchi2009
Предмет: Физика,
автор: Аноним
Предмет: Русский язык,
автор: gmvmarina
Предмет: Литература,
автор: Юляшка5563
Предмет: Информатика,
автор: sas1995