Предмет: Физика,
автор: superringo2014
ОЧЕНЬ-ОЧЕНЬ НАДО,ПОМОГИТЕ,ПОЖАЛУЙСТА!
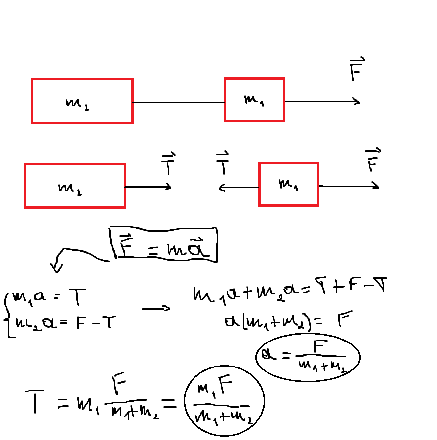
На гладком (трением пренебречь) горизонтальном столе находятся два тела масс m1 и m2, соединенные легкой нерастяжимой нитью, массой которой можно пренебречь. На первое тело действует постоянная горизонтальная сила F. Найдите ускорение тел силу натяжение нити.
Ответы
Автор ответа:
0
Построим диаграмму сил, действующих на каждое тело в отдельности. Сила натяжения нити будет одной и той же для обоих тел, а также ускорение обоих тел будет одинаковым. Записываем второй закон Ньютона для каждого тела в проекциях сил на линию плоскости (если сила вправо, то знак плюс, а если влево, то знак минус - это называется переход от векторов к проекциям)
Ну а дальше мы можем сложить два уравнения, чтоб получить выражение для ускорения. Затем подставив получившееся ускорение в первое уравнение (можно было и во второе, но в первом меньше слагаемых), мы найдем силу натяжения нашей нити.
Важно не путать равнодействующую сил (сумму всех сил)
во втором законе Ньютона и силу
, которая действует на первое тело. Сумма всех сил будет... ну короче суммой всех сил. Если че не понятно - пиши.
Ну а дальше мы можем сложить два уравнения, чтоб получить выражение для ускорения. Затем подставив получившееся ускорение в первое уравнение (можно было и во второе, но в первом меньше слагаемых), мы найдем силу натяжения нашей нити.
Важно не путать равнодействующую сил (сумму всех сил)
Приложения:
Похожие вопросы
Предмет: Информатика,
автор: XUDYAKOV87
Предмет: Английский язык,
автор: drhaus07p6k4ds
Предмет: Физика,
автор: lask1111
Предмет: Алгебра,
автор: ChrisV3