Предмет: Физика,
автор: Amvay901
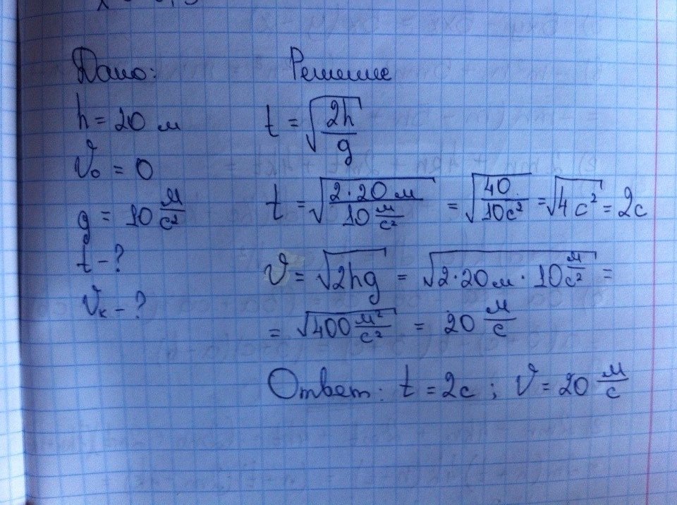
тело брошено вертикально вниз с высоты 20 м .Сколько ыремени оно будет падать и какой будет скорость в момент удара о землю? (g принять равным 10 м/с^2)
Ответы
Автор ответа:
0
решение во вложении)
Приложения:
Похожие вопросы
Предмет: Химия,
автор: EkaterinaR6969
Предмет: Алгебра,
автор: instvirane
Предмет: Математика,
автор: klesvalerka
Предмет: Физика,
автор: katara888