Предмет: Алгебра,
автор: 160896
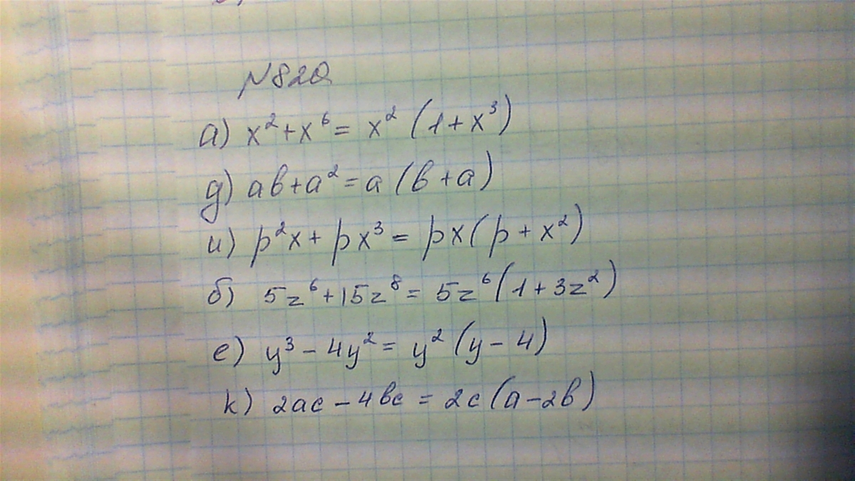
Номер 820 помогите решить пожалуйста.1 и 2 строчки. Заранее спасибо))
Приложения:
Ответы
Автор ответа:
0
Лови решение^^
Здесь всё просто ведь)
Здесь всё просто ведь)
Приложения:
Автор ответа:
0
спасибо я просто болел ничего понять не могу)
Автор ответа:
0
Пожалуйста^^ Давай, догоняй остальных :3
Похожие вопросы
Предмет: Русский язык,
автор: alserk03
Предмет: Русский язык,
автор: ArmenBro
Предмет: Қазақ тiлi,
автор: aliasulejmenova79
Предмет: Геометрия,
автор: pten41k