Предмет: Алгебра, автор: Аноним

Помогите вычислить
см.вложение что не понятно -отвечу

Приложения:

Ответы

Автор ответа: Maksim2009rus
0
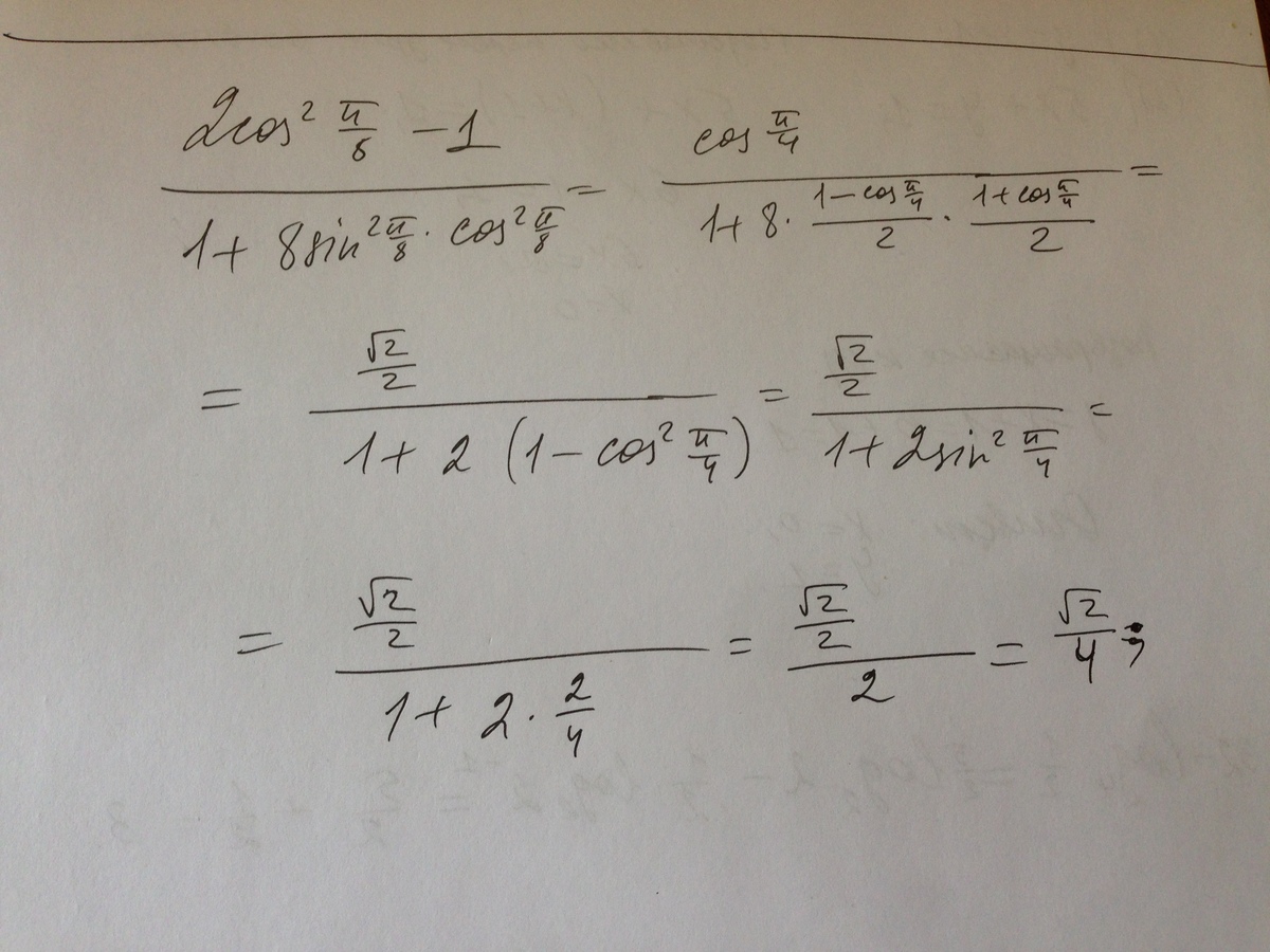
Решение во вложениях. Удачи. 
Приложения:
Автор ответа: Artem112
0
 cfrac{2cos^2 frac{ pi }{8}-1 }{1+8sin^2 frac{ pi }{8}cos^2 frac{ pi }{8}} =
 cfrac{cos frac{2 pi }{8} }{1+2sin^2 frac{ 2pi }{8}} =
 cfrac{cos frac{ pi }{4} }{1+2sin^2 frac{ pi }{4}} =
 cfrac{frac{  sqrt{2}  }{2} }{1+2( frac{  sqrt{2}  }{2})^2} =
\
= cfrac{frac{  sqrt{2}  }{2} }{1+1} = cfrac{frac{  sqrt{2}  }{2} }{2}=cfrac{  sqrt{2}  }{4}
Приложения:
Похожие вопросы
Предмет: Литература, автор: Аноним