Предмет: Геометрия,
автор: ZlayaTapochka
Пожалуйста, помогите решить задачи!
1. Основание прямой призмы - ромб со стороной 12 см и углом 60 градусов. Меньшая диагональ параллелепипеда равна 13 см. Найдите площадь: а) боковой поверхности призмы. б) полной поверхности призмы в) диагонального сечения, содержащего меньшую диагональ призмы.
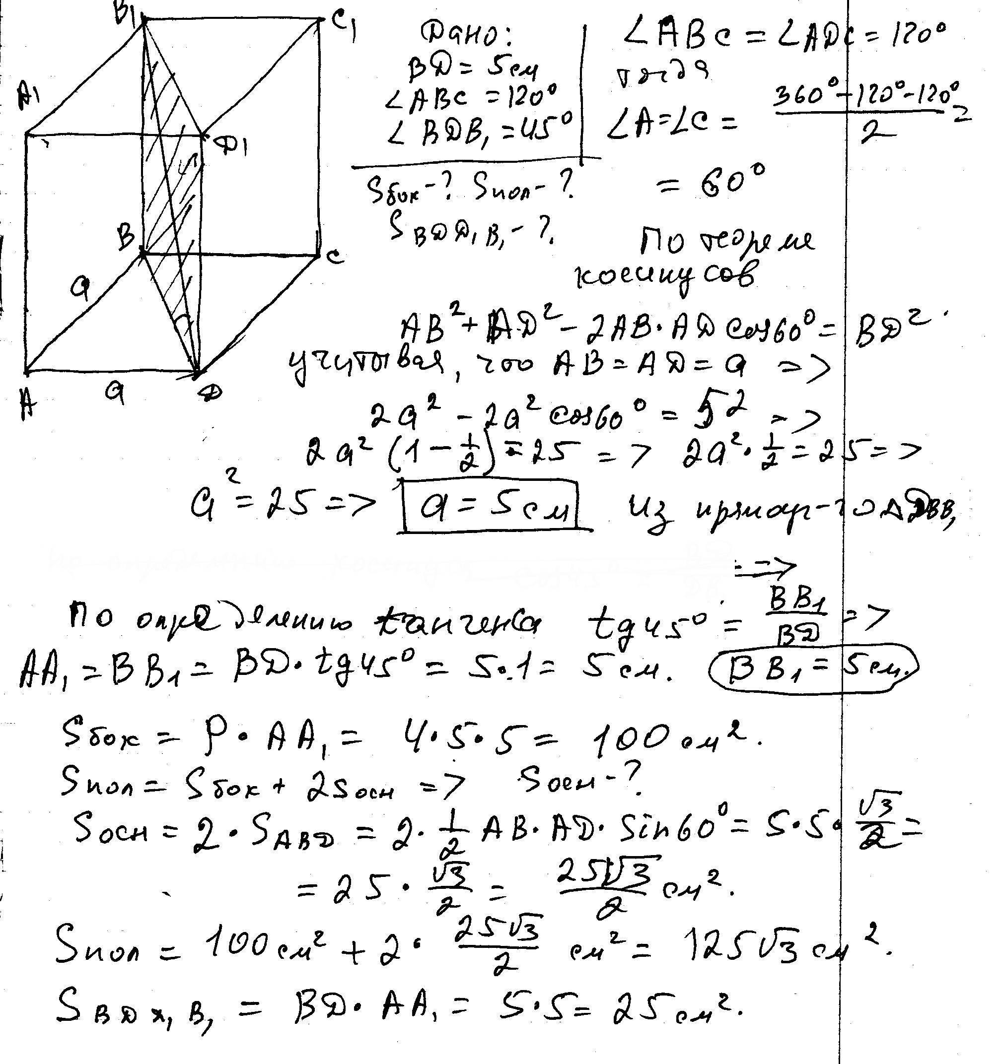
2. Основание призмы - ромб с меньшей диагональю 5 см и углом 120 градусов. Меньшая диагональ параллелепипеда образует угол 45 градусов с плоскостью основания. Найдите площадь: а) боковой поверхности призмы б) полной поверхности призмы в) диагонального сечения, содержащего меньшую диагональ призмы
Ответы
Автор ответа:
0
решение в скане............
Приложения:
Похожие вопросы
Предмет: Математика,
автор: kaibossrat
Предмет: Алгебра,
автор: arailymabylaikhan
Предмет: Алгебра,
автор: Alexshumeyko
Предмет: Биология,
автор: Гардеева