Предмет: Алгебра,
автор: Hania
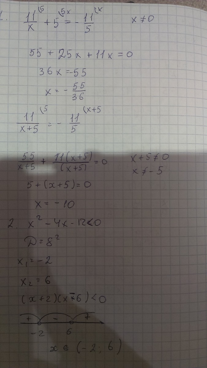
Решите уравнение 11/x+5 = - 11/5
И второе
x^2-4x-12<0
Только подробно пожалуйста.
Ответы
Автор ответа:
0
второе:
x^2 -4x-12<0
D=16+48=64
x1=(4-8)/2=-2
x2=(4+8)/2=6( не удовлетворяет условию)
Ответ:-2
x^2 -4x-12<0
D=16+48=64
x1=(4-8)/2=-2
x2=(4+8)/2=6( не удовлетворяет условию)
Ответ:-2
Автор ответа:
0
тут по-другому решать надо
Автор ответа:
0
"""""""""""""""""""""""""
Приложения:
Автор ответа:
0
Конечно.
Автор ответа:
0
а я из Беларуси
Автор ответа:
0
Переезжай в россию :з Ладно до завтра! времю 1:11
Автор ответа:
0
Давай
Автор ответа:
0
Чем маешся ?
Похожие вопросы
Предмет: Алгебра,
автор: varydes
Предмет: Математика,
автор: ssspartagg
Предмет: Алгебра,
автор: mrfrozenses
Предмет: Математика,
автор: Nastya131001