Предмет: Математика,
автор: ShrlockAnna
Можете написать объяснение(как решался пример).Заранее большое спасибо :З
Приложения:
Ответы
Автор ответа:
0
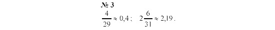
Это приближенные ответы. Можешь столбиком вычислить у тебя получиться в первом при деление 0.44444444 записывают сокращенно 0,(4) (4)-обозначает период. Еще тебе надо будет обращать внимание до какого знака после запятой надо округлить. Если после запятой знак больше 5 добавляешь 1. Например:
6/26=0,23076923 округлим до десятых значит 6/26≈0,2 до сотых 6/26≈0,23
А вот до тысячных будет 6/26≈0,231 т.к 7>5 значит прибавляем 1
6/26=0,23076923 округлим до десятых значит 6/26≈0,2 до сотых 6/26≈0,23
А вот до тысячных будет 6/26≈0,231 т.к 7>5 значит прибавляем 1
Автор ответа:
0
Спасибо,вроде поняла)
Автор ответа:
0
Не за что
Похожие вопросы
Предмет: Математика,
автор: Аноним
Предмет: Математика,
автор: Аноним
Предмет: Химия,
автор: Kamilka666
Предмет: Химия,
автор: Аноним
Предмет: Алгебра,
автор: Аноним