Предмет: Алгебра,
автор: ellinaabaeva
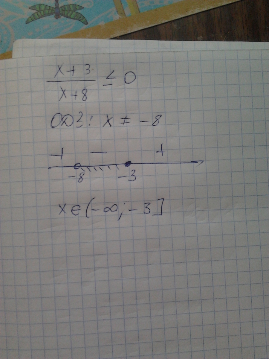
(x+3)/(x+8)<=0 решите пожалуйста неравенство
Ответы
Автор ответа:
0
вот так вот.если непонятно-объясню
ответ (-8;-3]
на фото-перепутала минус бесконечность и минус 8!!
ответ (-8;-3]
на фото-перепутала минус бесконечность и минус 8!!
Приложения:
Автор ответа:
0
вы за своими ошибками следите ,а не за моими
Автор ответа:
0
Вот именно, лучше следить за своими ошибками и исправлять их.
Автор ответа:
0
-9 не входит в решение так то =.=
Автор ответа:
0
вы взяли в ответ минус бесконечность это тоесть любое отрицательное число от -3 .. возьмите посчитайтае и ваш ответ не верный!
Автор ответа:
0
да.прошу прощения.перепутала минус бесконечность и минус 8
Автор ответа:
0
х не равен -8
х+3 <= 0
х <= -3
Ответ.(-8: -3]
Приложения:
Автор ответа:
0
-бесконечность и -8 не будет являться ответом. а -3] в квадоатных скобках .знак двойной
Автор ответа:
0
КВАДОАТНЫЕ СКОБКИ
Автор ответа:
0
ну не ту букву нажал ваше решение не верное
Похожие вопросы
Предмет: Геометрия,
автор: kaschenkonadya
Предмет: Окружающий мир,
автор: nurkad82
Предмет: Қазақ тiлi,
автор: alievarabiga719
Предмет: Обществознание,
автор: ilyasger
Предмет: Химия,
автор: Asya12345678901