Предмет: Геометрия,
автор: mrtrush97
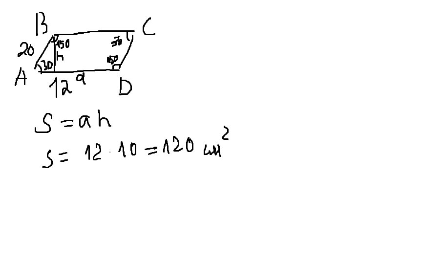
ABCD - параллелограмм AD = 12см, AB = 20см угол B = 150 градусав
найти площaдь ABCD
Ответы
Автор ответа:
0
противоположные углы равны. сумма углов в параллелограмме 360 градусов.против угла в 30 градусов лежит катет равный половине гипотенузы (в прямоугольном треугольнике) так узнали высоту (h). подставляем в формулу получаем ответ 120
Приложения:
Похожие вопросы
Предмет: Алгебра,
автор: anyya2
Предмет: Русский язык,
автор: Аноним
Предмет: Математика,
автор: baglank19822911
Предмет: Физика,
автор: дороша