Предмет: Химия,
автор: fasaty
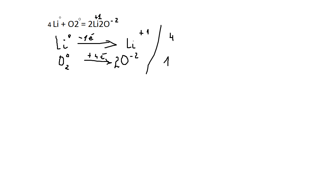
Составь электронную формулу 4Li+O2=Li2O2. Там где окислитель и восстановитель и что-то типа е- или как-то так. Конечно, я коряво объяснила, но помогите, пожалуйста.
Ответы
Автор ответа:
0
мне кажется что тут ошибка у Li скорее всего 2 так как в правой части его 2
2Li+O2+Li2O2
Li(0)--- -1e -----Li(+) 1 2
O(0)----- +2e ---- O2(2-) 2 1
как то так
2Li+O2+Li2O2
Li(0)--- -1e -----Li(+) 1 2
O(0)----- +2e ---- O2(2-) 2 1
как то так
Автор ответа:
0
Li = восстановитель
O2 = окислитель
O2 = окислитель
Приложения:
Похожие вопросы
Предмет: Математика,
автор: Аноним
Предмет: Математика,
автор: shahruza88
Предмет: Химия,
автор: banan8778
Предмет: Литература,
автор: rena13066
Предмет: Химия,
автор: KGM