Предмет: Физика, автор: maksim590

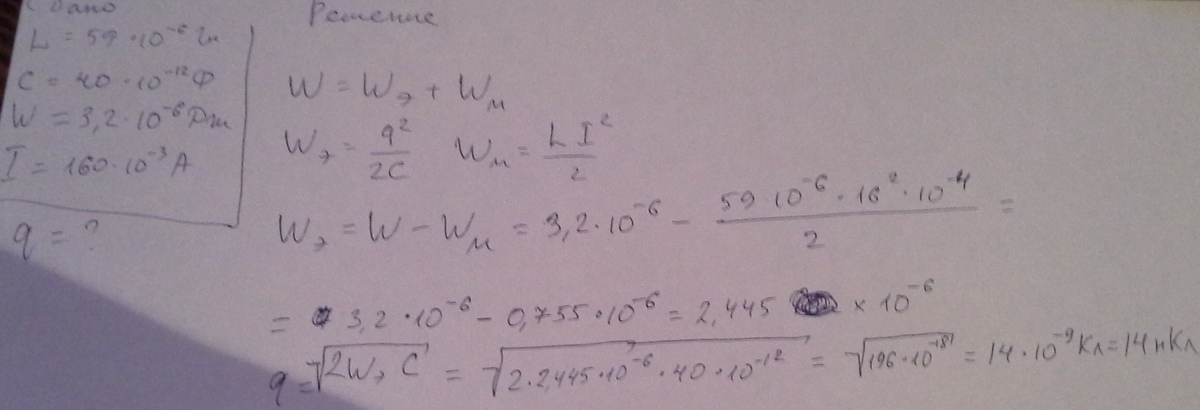
колебательный контур состоит из катушки индуктивности 59 мкГн и конденсатора 40 пФ энергия запасенная в контуре  равна  3,2* 10^-6 дж. чему равен заряд на конденсаторе в тот момент когда ток в цепи равен 160 мА

Ответы

Автор ответа: illarion8787
0
колебательный контур - это система состоящая из катушки и конденсатора.
Приложения:
Похожие вопросы
Предмет: Химия, автор: narutogwertzu
Предмет: Алгебра, автор: reinsa6666